Departments : NSS (BOYS), NSS (GIRLS), NSS BOYS SOCIETY, NSS GIRLS SOCIETY
From : 26-02-2026 To Date : 26-02-2026
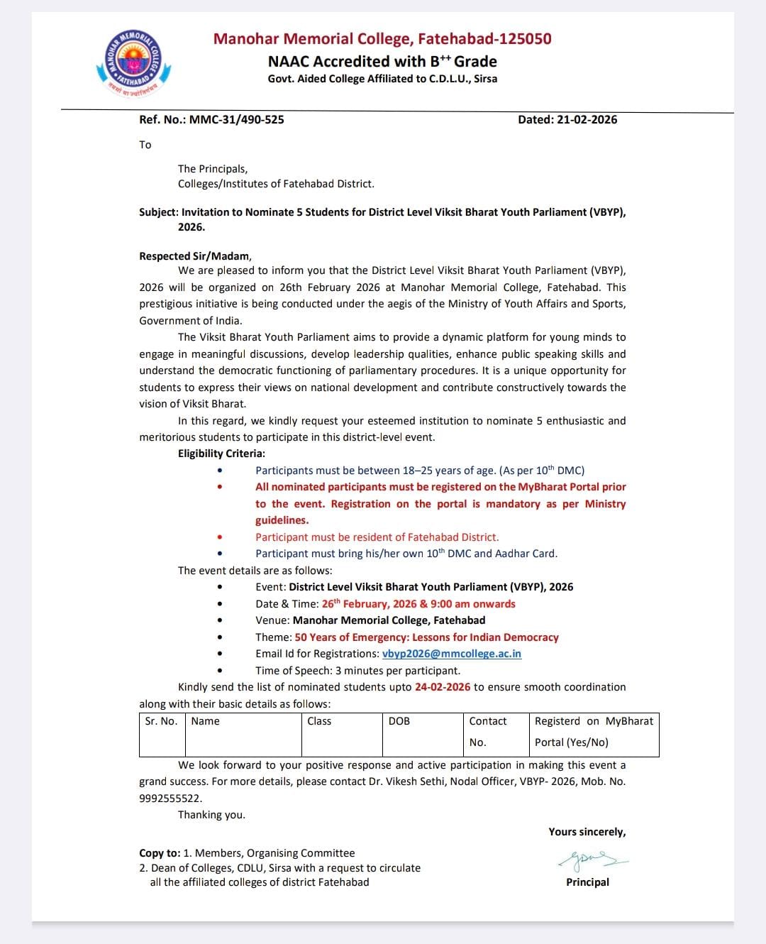
भारत को वर्ष 2047 तक एक विकसित राष्ट्र बनाने के विजन को धरातल पर उतारने के लिए युवाओं की भागीदारी अनिवार्य है। इसी उद्देश्य के साथ भारत सरकार के युवा कार्यक्रम एवं खेल मंत्रालय के तत्वावधान में मनोहर मेमोरियल कॉलेज में जिला स्तरीय ‘विकसित भारत युवा संसद’ का आयोजन किया गया। राष्ट्रीय सेवा योजना द्वारा आयोजित इस कार्यक्रम में जिलेभर के विभिन्न महाविद्यालयों के 18 से 25 वर्ष के युवाओं ने भाग लिया और अपनी नेतृत्व क्षमता का प्रदर्शन किया। कार्यक्रम में मुख्य अतिथि जिला परिषद फतेहाबाद की चेयरपर्सन सुमन खीचड़ रही वहीं विशेष तौर पर पूर्व सीएम मनोहर लाल खट्टर के मीडिया सलाहाकार सुदेश कटारिया, एमएम एजुकेशन सोसायटी के प्रधान राजीव बत्रा, युवा नेता सुभाष खिचड़, जिला युवा अधिकारी पूनम, आरके कौशिक व एसएस मल्होत्रा ने भाग लिया। प्राचार्य डॉ. गुरचरण दास ने आए हुए अतिथियों का स्वागत किया। युवा संसद का मुख्य थीम ‘आपातकाल के 50 वर्ष : भारतीय लोकतंत्र के लिए सबक’ रखा गया था। कार्यक्रम का शुभारंभ कॉलेज के श्रीमती अमरजीत कौर मेमोरियल सेमिनार हॉल में हुआ। कार्यक्रम का संचालन प्रो. सिम्पा ने किया। मुख्यअतिथि सुमन खिचड़ ने कहा कि विकसित भारत के निर्माण में युवाओं का योगदान सबसे अहम है। युवा संसद जैसे कार्यक्रम विद्यार्थियों के व्यक्तित्व विकास में मील का पत्थर साबित होते हैं। पूर्व सीएम के मीडिया सलाहाकार सुदेश कटारिया ने कहा कि वर्तमान सरकार ने युवाओं को बिना खर्ची-पर्ची के केवल योग्यता के आधार पर नौकरियां देकर उनके भविष्य को सुरक्षित किया है। उन्होंने आह्वान किया कि युवा अपनी प्रतिभा का उपयोग राष्ट्र निर्माण में करें। राजीव बत्रा ने कहा, युवा मेहनत, लगन व निष्ठ से काम करें। इस आयोजन का मूल उद्देश्य युवाओं को अनुशासित और जागरूक नागरिक बनाना है। इमरजेंसी के पक्ष और विपक्ष में विद्यार्थियों ने रखे विचार ‘विकसित भारत युवा संसद’ में स्पीकर की भूमिका इमेजिन छात्रा ने निभाई। इमेजिन बालिका पंचायत में सरपंच भी है। विभिन्न महाविद्यालयों से आए विद्यार्थियों ने संसद सदस्य के रूप में भाग लिया। उन्होंने इमरजेंसी के पक्ष और विपक्ष में अपने विचार रखे। विद्यार्थियों ने तर्क-वितर्क के माध्यम से यह दर्शाया कि कैसे एक सशक्त लोकतंत्र में नागरिक अधिकारों और संवैधानिक मूल्यों की रक्षा अनिवार्य है। एनएसएस कार्यक्रम अधिकारी प्रो. प्रतिभा मखीजा और विकसित भारत युवा संसद के जिला नोडल अधिकारी डॉ. विकेश सेठी ने बताया कि जिला स्तर पर सर्वश्रेष्ठ प्रदर्शन करने वाले टॉप 5 विद्यार्थी राज्य स्तर पर फतेहाबाद जिले का प्रतिनिधित्व करेंगे। राज्य स्तर के बाद राष्ट्रीय स्तर का कार्यक्रम आयोजित होगा। इस गौरवशाली पड़ाव पर पहुंचने वाले चयनित युवाओं को प्रधानमंत्री नरेंद्र मोदी से सीधे बातचीत करने और अपने विचार साझा करने का स्वर्णिम अवसर प्राप्त होगा। प्रतियोगिता में यह रहे विजेता निर्णायक मंडल में प्रो. आरके कौशिक, जिला परिषद चेयरपर्सन सुमन खिचड़, युवा नेता सुभाष खीचड़, जिला युवा अधिकारी पूनम, विकसित भारत युवा संसद के जिला नोडल अधिकारी डॉ. विकेश सेठी शामिल रहे। जिला स्तर पर चयनित पांच विद्यार्थियों में एमएम कॉलेज से जैसमीन व हिमांशु, एमएम कॉलेज ऑफ एजुकेशन फतेहाबाद से पूजा, अरबिंदो कॉलेज आफ एजुकेशन भट्टू मण्डी से देविका तथा ग्रामीण कॉलेज आफ एजुकेशन टोहाना से लखविन्द्र कौर शामिल हैं।
Last Updated : March 24, 2026
